![]() Design of Unreinforced Masonry Structures as per ACI 530.1-11 |
Calculations for Design of Unreinforced Masonry Structures
Calculations for Flexure and Axial Compression
Unreinforced masonry wall might not subject to net axial tension which could be resulted from wind uplift on the roof joined to masonry wall or overturning influence of lateral loads. Compressive forces caused by dead loads can be employed to balance tension stress but in the case of subjecting walls to net axial tension, reinforcement should be embedded to provide adequate resistance against resulted tensile forces. Moreover, unreinforced masonry can be designed to withstand flexural tension resulted from applied loads.
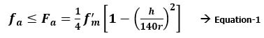
Computed compressive stresses (fa) resulted from applied load should be equal or less than permissible compressive stress (Fa) if unreinforced masonry walls subjected to axial loads solely.
For masonry elements h/r less than 99:

For masonry elements h/r greater than 99:
Where:
fa: Applied compressive stress resulted from axial load only in masonry, MPa or psi
Fa: Allowable compressive in masonry caused by axial load only, MPa or psi
f’m: Specified masonry compressive strength, MPa or psi
h: Effective height of masonry elements, mm or in
r : Radius of gyration of masonry elements, mm or in
There are different industrial publications like Section Properties of Concrete
Masonry Walls (NCMA, 2003b) that provide areas, net and average section properties for example moment of inertia, radius of gyration, section modulus.
Another stability check is carried in which the axial compressive load (P) should be equal or less than 1/4 multiply the buckling loads (Pe).


Where:
P: is the applied axial load, N or lb
Pe: is the Euler buckling load, N or lb
Em: is the modulus of elasticity of masonry, MPa or psi
In: is the moment of inertia of net cross sectional area of masonry, mm4or in4
h: is the effective height of masonry element, mm or in
e: is the eccentricity of applied axial load, mm or in. this is actual eccentricity of the applied load, not an equivalent eccentricity which resulted from applied bending moment.
r: is the radius of gyration of masonry element, mm or in
When unreinforced masonry elements are subjected to flexural tension, values for allowable flexural tension which are given in Table 1 which are provided by ACI 530.1-11 Building code requirements and specification
for masonry structure and related commentaries and changes with type of mortar, span direction, bond pattern, and grouting percentage.
Table-1: Allowable flexural tensile stresses for clay and concrete masonry, KPa

Even though it is an underestimated assumption, ACI 530.1-11 suggested that, in the case where walls spanning between supports horizontally, flexural tension stresses could not be transferred across head joints by stake bond construction masonry.
Moreover, it is considered that for masonry constructed in staked bond, allowable flexural tensile stress value, which is perpendicular to head joints, is equal to zero for designing.
Furthermore, the strength of unreinforced masonry is mostly controlled by flexural tensions provided by Table-1 if it is subjected to net flexural stresses. This is because the bond between mortar and masonry units or in another term masonry tensile strength is much lower than its compressive strength.
Flexural tensile stress of unreinforced masonry elements that subjects to compressive axial force (P) and bending moment (M), is calculated as per following equation:
Where:
fb: Applied stress resulted from bending moment, MPa
M: applied bending moment, N.mm
t: Thickness of masonry elements, mm
In: Moment of inertia of masonry net cross sectional area, mm4
P: Applied compressive axial load, N
An: Masonry element net cross sectional area, mm2
If the result of bending stress (fb) is negative, the masonry is controlled by compression and the limitation of compressive stress must meet:
And if the result of equation-4 is positive then the masonry is controlled by tension and specifying values of Table-1 must be satisfied.
When unreinforced masonry elements subjected to both flexural bending and axial load simultaneously, then an equation which provided below is employed to proportion the available permissible stresses to the applied loads:
Calculations for Shear
Shear stress of unreinforced masonry element is estimated using net cross sectional properties of the masonry in the direction of the applied shear force as per the following equation:
Where:
fv: applied shear stress of masonry element, MPa
V: applied shear force, N
Q: First moment of inertia, mm3
In: Moment of inertia of net cross sectional area of masonry, mm4
b: Masonry section width, mm
Both in-plane and out-of-plane shear stresses can be calculated by equation-7. Moreover, cracked section analysis is not carried out to find out net cross sectional area since unreinforced masonry is designed to stay uncracked.
As per ACI 530.1-11, computed shear stresses fv due to applied forces should not surpass the following limitations. This restriction values are used for in-plane shear stress and the Code do not provide limitations for out-of-plane shear stresses.
1. 
2. 827 KPa
3. Running bond masonry not fully grouted:
4. Masonry not laid in running bond, fully grouted, and constructed of open end units:
5. Running bond masonry fully grouted:
6. Masonry not laid in running bond, fully grouted, and constructed of other than open end units: 103 KPa

No comments:
Post a Comment